莱森光学:基于 LIBS 技术的录井岩屑多元素定量分析方法研究
基于 LIBS 技术的录井岩屑多元素定量分析方法研究

一、引言
随着现代社会的快速发展,石油、天然气等能源的消耗越来越大,油气资源勘探和开采活动也越来越频繁。油气资源勘探与开采过程中的一项基础工作就是岩屑录井。为了绘制录井图,录井现场的工作人员需要对取自不同井深的岩屑样品的元素组成和含量进行测定和记录。准确的元素录井图可以为正确判别岩性、预测将要钻遇的地层、判断地层的层位、选择合适的钻井施工参数和减少钻井的工作风险等后续工作提供关键的基础数据。
传统的元素分析技术主要包括中子活化法(NAA)、原子吸收光谱法(AAS)、电感耦合等离子体发射光谱法(ICP-AES)、电感耦合等离子体质谱法(ICP-MS)等。作为一种新兴的原子发射光谱分析技术,激光诱导击穿光谱(LIBS)技术具有样品前处理简单、结构简单易于小型化、可同时检测多种元素、分析速度快等优点,已经被广泛应用于食品、合金、爆炸物、土壤等多种物质的分析。在本章工作中,将针对岩石中 Si、Al、Ca、Mg 和 K 五种主量元素,为该仪器开发配套的元素定量分析方法,以满足录井现场对岩屑样品进行元素分析的实际需求。最后将 LIBS 的检测值与目前录井岩屑元素分析应用最为广泛的 XRF 技术的检测值进行对比来评估其现场应用的可行性。
二、实验部分
2.1 试验样品制备
本章总共使用了 163 个岩石样品,使用涡旋混匀器将其混合均匀后所得。采集自录井现场的岩屑样品来自我国西南地区某录井现场同一口井的不同深度,按照深度逐渐增加顺序将其编号设为 LJ #01~LJ #97。该批样品的目标元素含量依据国标 GB/T 14506.28-2010 硅酸盐岩石化学分析方法和 JY/T 0569-2020 波长色散 X 射线荧光光谱分析方法通则检测获得。实验中所使用的岩石样品都是均匀的粉末,5 种目标元素含量详见附录 B 中的表 1 和表 2。使用电热恒温干燥箱将样品在 60℃干燥 2 小时后,称取 1 g,使用自动压片机在 8 Mpa 压强持续保压 20s 的条件下压制成圆片状样本,直径为 20 mm。图1 展示了代表性压片样本。

图1 代表性岩石压片样本
2.2 光谱数据采集
使用仪器进行岩石样品的光谱数据采集,将仪器的曝光时间设置为 1 ms,延时时间设置为 1.5 μs,随机地选取样本表面 20 个不同的位置来采集光谱数据。为了减小激光脉冲能量的波动对光谱数据稳定性的影响,同时进一步提高谱线的信噪比,在每个位置都累计采集 4 次光谱信号,将其平均后作为该位置的光谱数据。
2.3 光谱分析流程
在本章的工作中,将 49 个国家标准岩石样品的光谱数据划分为训练集数据,17 个自制的补充样品的光谱数据划分为测试集数据。以训练集数据为基础分别建立 5 种目标元素的定量分析模型,再利用测试集数据来评估模型的性能。在应用测试中,将 97 个录井岩屑作为未知样品,使用 LIBS 仪器及配套的分析测试软件调用该定量模型封装而成的算法程序来检测 5 种目标元素的含量,将其结果与目前在录井现场岩屑元素分析中应用最为广泛的 XRF 技术的检测结果进行对比,评估该仪器实际应用的可行性。图2 展示了数据分析的整体流程。

图2 数据分析整体流程的示意图
三、结果与讨论
3.1 光谱数据预处理及特征谱线筛选
图3 展示了 LIBS 仪器所采集的代表性岩石压片样本的原始光谱图。从图中可以看出,整个光谱的基线比较平稳,能够清晰地识别出 Si、Mg、Ca 等多种元素的特征谱线,信噪比良好,表明该仪器采集的光谱能够满足分析的需求。

图3 代表性岩石压片样本(GBW07111)LIBS 光谱图
但是 LIBS 光谱数据的稳定性和重复性会受到仪器的性能、固体粉末样品的均匀度、岩石中复杂的基质效应等因素的影响,对光谱数据进行归一化预处理能够提升其稳定性和重复性。常用的归一化方法主要包括:总面积归一化 、最大最小强度归一化、标准正态变化(SNV)等。
但是,岩石中所含元素众多,不同样品中各元素含量的差异比较大,因此不同样品的 LIBS 光谱总强度和发射谱线的数量也是有差异的。如图4 所示,国标样品 GBW03115 和 GBW07107 基体相似,Si 元素和 Ca 元素含量都非常接近,但是 Fe 元素含量差异比较大,GBW07107 中 Fe 元素含量为 5.32 %,而 GBW03115 中 Fe 元素含量仅为0.60 %。相较于 GBW03115, GBW07107 的 LIBS 光谱中 Fe 元素特征谱线的数量远远高于其他元素。在总面积归一化中需要将全部谱线的强度进行求和作为分母,这在一定程度上会削弱其余元素的特征谱线峰强与含量之间的映射关系,虽然提升了数据的稳定性,但是却放大了基质效应的影响。


图4 GBW03115 和 GBW07107 的 LIBS 光谱图对比
因此,在本章的工作中,以总面积归一化的思路为基础,根据岩石样品中元素分布的特点,提出了部分面积归一化的数据预处理方法。利用表1 中列举的岩石中代表性元素的 18 根特征谱线进行归一化处理:
表1 代表性元素的特征谱线

针对每个目标元素,将采集到的原始光谱数据与 NIST 数据库比对,选择信号比较强且受相邻特征峰干扰较少的谱线作为定量分析的特征峰:445.478 nm (CaⅠ)、516.732 nm(MgⅠ)、288.158 nm(SiⅠ)、308.215 nm(AlⅠ)和 769.896 nm(KⅠ)。为了挑选出最优归一化方法,分别采用总面积归一化、最大最小强度归一化和部分面积归一化对训练集的 LIBS 光谱数据进行处理,然后根据原始峰强、预处理以后的峰强和对应的元素含量建立了定标曲线。如图5 所示,选定的目标元素定量分析特征峰的原始峰强 RSD 在 10 %~ 13.5 %之间,说明仪器所采集的光谱原始数据是比较可靠的,通过归一化预处理以后,光谱数据的稳定性和重复性得到了进一步的提升,综合评估光谱数据的稳定性、岩石样本整体的离散度和定标曲线的决定系数来选择每种目标元素的最优归一化方法。


图5 目标元素基于原始峰强和不同归一化处理之后的峰强建立的定标曲线
对于 Ca 元素,最优方法是最大最小强度归一化,归一化之后的平均 RSD为 8.26 %,相比于原始 RSD 下降了 32.6 %,R 2 从 0.9372 提高到 0.9612;对于 Mg 元素,最优方法是总面积归一化,归一化之后的平均 RSD 为 8.90 %,相比于原始 RSD 下降了 32.7 %,R 2 变化不大;对于 Si、Al 和 K 元素,最优的方法是部分面积归一化,归一化之后的平均 RSD 分别为 5.92 %、6.48 %和7.89 %,相比于原始 RSD 分别下降了 41.0 %、41.7 %和 24.8 %,其中 Si 元素和 Al 元素的 R 2 得到了明显的提升,分别为 0.8304 和 0.7313。
3.2 定量模型的建立与验证
Ca 元素在最大最小强度归一化之后的定标曲线 R 2为 0.9612,比较理想,基于此结果建立了 Ca 元素的定量模型。虽然 Mg、Si、Al 和 K 元素 R 2 不够理想,以此为基础直接建立定量模型难以实现较为准确的定量分析。因此,本章工作提出了一种基于主成分回归(PCR)的光谱强度校正的方法。首先需要根据最优归一化之后的结果,拟合出 Mg、Si、Al 和 K 元素的定标曲线,通过该曲线计算出各元素在不同含量下对应的理想峰强和峰强的校正系数。从图5 中可以发现,在不同的含量范围,Al 元素和 K 元素的特征峰强度和含量之间虽然总体上都是正相关的,但是趋势明显不同。为了更好地反映特征峰强随含量变化的趋势,采用分段拟合的方法,在较低含量和较高含量范围分别拟合出定标曲线。理想峰强的计算公式和理想峰强与实际峰强如图6 所示,根据公式就可以计算出峰强的校正系数。

图6 理想峰强与实际峰强
接下来的工作是建立用来计算峰强校正系数的 PCR 模型,首先需要使用PCA 对光谱数据进行降维,确定合适的 PC 数量。对于 Mg 元素采用预处理的是总面积归一化,而对于 Si、Al 和 K 元素采用的是部分面积归一化。基于两种不同的归一化方法使用 PCA 提取出的主成分和累积主成分的数据解释率如图7 所示。

图7(a)部分面积归一化之后的前 11 个主成分数据解释率;(b)部分面积归一化之后的前 11 个主成分累积数据解释率;(c)总面积归一化之后的前 15 个主成分数据解释率;(d)总面积归一化之后的前 15 个主成分累积数据解释率
如上图所示,这些主成分已经可以代表训练集光谱数据中绝大部分的信息。以主成分为自变量,校正系数为应变量,采用 PCR 算法建立了计算校正系数的模型。通过所建的 PCR 模型计算出峰强的校正系数再乘以归一化之后的峰强得到校正后的峰强,基于此建立 Mg、Si、Al 和 K 元素的定量分析模。五个目标元素最终的定量分析模型如图8 所示。

图8 目标元素的定量模型
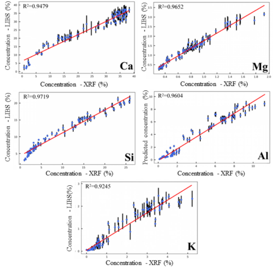
测试集中的 17 个自制补充样品的光谱数据被用来评估定量模型预测结果的准确性,五种目标元素含量的预测结果如图9 所示。总体来说,利用该模型能够对目标元素的含量实现有效的预测,Ca、Mg、Si 和 Al 元素的预测值和已知含量之间的 R 2 分别为 0.9843、0.9901、0.9745 和 0.9411,但是 K元素的预测效果欠佳,R 2 只有 0.8114,原因是当 K 元素含量较高时,谱峰强度会受自吸收效应的影响,从而降低了定量模型的准确性。

图 9 定量模型在测试集上对目标元素含量的预测效果
3.3 应用测试
将建立的定量模型集成到所使用的 LIBS 仪器上,利用从录井现场所采集的岩屑样品对该仪器进行应用测试,验证该仪器用于录井现场进行实时、在线岩屑分析的可行性。使用 LIBS 仪器对五种目标元素进行检测后的结果和使用实验室 XRF 仪器的检测结果的对比如图10 所示。两种仪器对 Ca、Mg、Si、Al 和 K 元素检测结果的整体趋势一致。

图10 岩屑样品的五种元素含量检测结果
根据应用测试的结果,绘制了目标元素含量变化的趋势图,如图11 所示。图中红色的曲线代表 LIBS 仪器的检测结果,蓝色的曲线代表 XRF 仪器的检测结果,两根曲线的整体变化趋势是一致的。

图11 岩屑样品的五种元素含量变化趋势图
根据 LIBS 曲线的变化能够分析出岩屑样品所属的岩性和所在地层的变化:岩屑样品 LJ #22~LJ #30 的 Ca 元素含量检测值大多数都低于 10 %,Al元素含量检测值在 7 %左右,Si 元素含量检测值在 20 %左右,这部分岩屑样品 中 元 素 分 布 的 规 律 符 合 泥 岩 或 页 岩 等 黏 土 岩 的 特 征 ;岩 屑 样 品LJ#31~LJ#64 中 Ca 元素含量检测值普遍高于 30%,Mg 元素含量的检测结果低于 1%,Si 元素含量的检测结果低于 10%,这部分岩屑样品中元素分布的规律符合石灰岩的特征。基于以上结果可以得出,岩屑样品 LJ #22~LJ #30 和LJ#31~LJ#64 所属的岩性和所在的地层是不一样的,从 LJ#31 所在位置开始井中的岩性和地层出现了明显的变化。这个结论符合钻井现场的真实情况,说明了集成了定量模型的 LIBS 仪器能够对录井岩屑样品进行有效的元素分析,证明了该仪器在油气勘探开采方面的应用潜力。但是,本章研究中所分析的元素种类有限,而且 K 元素的 LIBS 检测结果整体上比 XRF 的检测结果偏低,Mg 元素的 LIBS 检测结果整体上比 XRF 的检测结果偏高,说明检测结果的准确性也有待进一步的提高。因此,后续的研究工作需要进一步扩充元素的种类,建立更全面的定量分析模型,开发更加准确的定量分析方法。
四、结 论
本章提出了一种针对岩石样品的部分面积归一化的数据预处理方法和基于 PCR 的峰强校正法,建立了 Ca、Mg、Si、Al 和 K 五种元素的定量分析模型,利用 LIBS 仪器检测了真实录井岩屑样品的五种元素含量,并与实验室XRF 仪器的检测结果进行了对比。检测了真实录井岩屑样品中目标元素的含量,并与目前在元素录井领域广泛应用的 XRF 技术的检测结果进行了对比。基于两种技术的检测结果,绘制了元素含量变化的趋势图。从图中可以分析出岩屑所属岩性和所在地层的变化,分析结果与钻井现场的实际情况一致。以上结果证明了便携台式 LIBS 仪器结合本章所开发的定量分析方法能够对录井岩屑样品进行有效的实时分析,在油气勘探开发领域具有良好的应用前景。
产品推荐
工业在线LIBS激光诱导光谱仪iSpecLIBS-IND
可根据用户需求和具体使用场景定制。例如:采用多个通道高分辨率光谱仪进行同步采集;采用一体化集成机箱,防尘防震防腐蚀,横跨传送带吊装设计、实时显示设备状态和测量结果;适应不同天气环境温度变化。

实验室一体化 LIBS 激光诱导光谱仪iSpecLIBS-SCI800
主要由激光器、高分辨率光谱仪、LIBS光路收集探头、XYZ样品窗、触发延迟控制器等组成,由于其采用一体化,可扩展非常灵活,非常适合科研研究、LIBS光学应用实验、光学应用中心等用户,可以非常方便的灵活选用配置激光器和光谱仪。

手持式LIBS激光诱导光谱仪iSpecLIBS-HH
不需要样品制备,几乎无损、快速、安全的多元素分析,特别适用于碳、锂、硅等轻质元素的检测。附带免费的客户端软件,提供强大的工具来下载测试数据、编辑牌号库、生成测试报告和编译校准文件。对于高级用户,提供了非常有用的附加功能来满足用户的专业要求。

- 收藏




