莱森光学:透明材料BRDF反射率测试
透明材料BRDF反射率测试

一、BRDF/BTDF
BRDF/BTDF是一个专门测量光学材料表面的双向反射/透射分布函数和光学材料各向同性材料研究的系统,该系统广泛应用于航天遥感、地质测量、精密制导、目标仿真,光学设计,VR/VR/MR等领域,同时可实现对玻璃、金属、塑料、纸张、纺织品、油漆、涂层、光学膜材料等诸多材料的表面光学特性的定量分析,是研究物质、材料的基础物理特性非常重要的光学测试工具。双向反射函数(BRDF)不仅能够很好地对各类型材料表面出现的散射特性情况进行详细描述分析,而且能够对其光辐射特性等特征进行描述,大体上能够反映除却几何特性的全部光学特征。
1.1 测量原理
根据双向反射/透射分布函数的定义,BRDF测量方法是分别测出入射光谱辐照度和反射/透射光谱辐亮度,两者之比即为BRDF/BTDF。
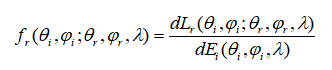
双向反射分布函数定义(BRDF)
双向反射分布函数(Bidirectional Reflectance Distribution Function)表示了不同入射角条件下物体表面在任意观测角的反射特性,如图1所示。双向反射分布函数是光辐射的反射辐亮度和入射辐照度的比值。其数学表达式为


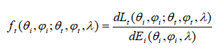
双向透射分布函数定义(BTDF)
双向透射分布函数(Bidirectional Transmittance Distribution Function)表示了不同入射角条件下物体表面在任意观测角的透射特性,如图2所示。双向透射分布函数是光辐射的透射辐亮度和入射辐照度的比值。其数学表达式为


测量系统
1、四维运动支架
2、四维运动支架控制器
3、iLight-HAL-HP高功率宽带卤灯光源或超连续激光白光光源
4、照明光纤、探测光纤
5、漫反射标准板、光学平板
6、LiSpec系列光谱仪
7、LiSpecView-BRDF测量软件

二、应用背景
- 科学广泛应用于航天遥感、地质测量、精密制导、目标仿真,光学设计,VR/VR/MR等领域。
- 主要用于光学系统光机件表面的散射测量,可实现对玻璃、金属、塑料、纸张、纺织品、油漆、涂层、光学膜材料等诸多材料进行表征分析。
- 可用于研究物质、材料的基础物理特性。
- 航天领域的光学表面污染检测,表面材料特性检测,外表面热控材料散射检测;用于材料的模拟和仿真的光学组件和特殊材料的表面散射测量。
- 莱森光学BRDF系列产品可全方位分析测量材料表面的反射、透射特性,可测参数包括材料的双向透射分布(BTDF)、双向反射分布(BRDF)等。
三、实验内容
- 实验目的
样品是一种具有镜面反射特征的透明材料,利用iSpecBRDF可见红外双向反射/透射分布函数光谱测量仪对样品进行测试,收集样品反射率数据。

- 实验内容

实验样品实物图

实验实物图
测量波长 940nm 的样品在下列角度下的反射率:
1.入射照明顶角:0°,10°,20°,30°,40°
2.照明方位角:0°
3.探测器方位角:0°,45°,90°,-45°
4.探测器顶角:-90°-90°
- 实验结果

0°入射天顶角的BRDF数据

10°入射天顶角的BRDF数据

20°入射天顶角的BRDF数据
产品推荐
双向反射/透射分布函数光谱测量系统
iSpecBRDF是莱森光学一款专门测量光学材料表面的双向反射/透射分布函数和光学材料各向同性材料研究,该系统广泛应用于航天遥感、地质测量、精密制导、目标仿真,光学设计,AR/VR/MR等领域,同时可实现对玻璃、金属、塑料、纸张、纺织品、油漆、涂层、光学膜材料等诸多材料的表面光学特性的定量分析,是研究物质、材料的基础物理特性非常重要的光学测试工具。

- 收藏




